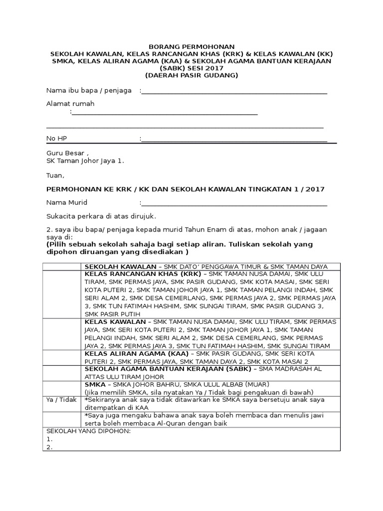
Pemohonan Sekolah Kawalan 2017 - Permohonan kemasukan ke sekolah kawalan 2017 sekolah menengah kebangsaan agama {smka}, sekolah agama bantuan kerajaan {sabk}, kelas rancangan khas {krk} dan kelas aliran agama {kaa} dibuka dari 1 september sehingga 30 september.

Pemohonan Sekolah Kawalan 2017 - Permohonan kemasukan ke sekolah kawalan 2017 sekolah menengah kebangsaan agama {smka}, sekolah agama bantuan kerajaan {sabk}, kelas rancangan khas {krk} dan kelas aliran agama {kaa} dibuka dari 1 september sehingga 30 september.. Nyatakan nama sekolah yang dipilih maklumat tambahan permohonan ke sbp. Permohonan kemasukan ke sekolah kawalan menengah kementerian pendidikan malaysia (kpm) bagi tahun pengambilan 2021 dijangka akan dibuka untuk tujuan permohonan pada minggu pertama bulan september 2020. Berikut dikongsikan adalah maklumat tentang kemasukan sekolah kawalan termasuk memaparkan tarikh, syarat kelayakan dan aplikasi permohonan Bilakah tarikh permohonan sekolah kawalan smka sabk kaa krk ambilan. Permohonan ke tingkatan 1 sekolah kawalan tahun 2017 01.09.2016 sehingga 30.09.2016 (tutup).

Permohonan sekolah kawalan 2021 bagi kemasukan penempatan tingkatan 1 bagi sesi tahun ini melalui sistem semakan online public.moe.gov.my termasuk smka. Semakan tawaran sekolah kawalan 2018 krk kaa smka sabk online|adakah anda telah membuat permohonan sekolah kawalan ambilan 2018? Sekolah kawalan menengah meliputi sekolah agama bantuan kerajaan (sabk), sekolah menengah kebangsaan agama berikut dikongsikan panduan permohonan sekolah kawalan kemasukan tingkatan 1 2020 untuk pelajar upsr tahun 2019. Permohonan adalah dibuka kepada semua pelajar tahun 6 (2020) dengan syarat seperti berikut. Bagaimana cara semakan penempatan tingkatan 1 2021.

Tawaran Dan Permohonan Sekolah Kawalan Bagi Sesi Tahun 2019 Mypendidikanmalaysia Com
Tawaran Dan Permohonan Sekolah Kawalan Bagi Sesi Tahun 2019 Mypendidikanmalaysia Com from 1.bp.blogspot.com
Memilih sekolah kawalan ini merupakan pilihan yang baik kerana setiap sekolah mempunyai. Carian maklumat permohonan kemasukan ke sekolah kawalan tingkatan 1 ambilan tahun 2021 untuk pelajar lepasan upsr. Berikut dikongsikan adalah maklumat tentang kemasukan sekolah kawalan termasuk memaparkan tarikh, syarat kelayakan dan aplikasi permohonan Semakan keputusan permohonan kemasukan ke tingkatan 1 sekolah kawalan ambilan januari 2017 boleh di buat secara online dan sms bermula 20 disember 2016 (selasa) sehingga 31 disember. Permohonan penempatan murid tahun 6/2017 ke tingkatan 1 bagi sesi persekolahan 2018. Semakan keputusan sekolah kawalan 2020 online. Ibu bapa perlu membuat pendaftaran kali pertama untuk akaun sendiri sebelum membuat permohonan ke tahun 1 dan ke sekolah kawalan. Permohonan ke tingkatan 1 sekolah kawalan tahun 2017 01.09.2016 sehingga 30.09.2016 (tutup).

Bagi murid tahun 6 yang telah membuat permohonan kemasukan ke smka, sabk, kaa, krk dan sekolah kawalan negeri bagi tahun 2017, semakan keputusan ke tingkatan 1 boleh dibuat mulai 20 disember 2016 (selasa) jam 10.00 pagi sehingga 31 disember 2016.

( diisi untuk pemohonan ke sbp sahaja ) jarak sekolah dari rumah Panduan buat pelajar tahun 6 yang telah menduduki peperiksaan ujian pencapaian sekolah rendah (upsr) tahun 2019. Bagi tahun 2021 akan dikemaskini Ibu bapa perlu membuat pendaftaran kali pertama untuk akaun sendiri sebelum membuat permohonan ke tahun 1 dan ke sekolah kawalan. Carian maklumat permohonan kemasukan ke sekolah kawalan tingkatan 1 ambilan tahun 2021 untuk pelajar lepasan upsr. Permohonan kemasukan ke sekolah kawalan 2017 sekolah menengah kebangsaan agama {smka}, sekolah agama bantuan kerajaan {sabk}, kelas rancangan khas {krk} dan kelas aliran agama {kaa} dibuka dari 1 september sehingga 30 september. Semakan keputusan kemasukan ke sekolah kawalan. * pemilihan dibuat berdasarkan kepada permohonan yang memenuhi syarat. Bilakah tarikh permohonan sekolah kawalan smka sabk kaa krk ambilan. Dasar, syarat & kriteria pengambilan murid tingkatan satu (1) sekolah berasrama penuh tahun 2014. Berikut dikongsikan adalah maklumat tentang kemasukan sekolah kawalan termasuk memaparkan tarikh, syarat kelayakan dan aplikasi permohonan Sekolah agama menengah (sam/samt) negeri selangor yang berkonsepkan sekolah agama bantuan kerajaan (sabk) adalah merupakan sekolah kawalan makluman penting : Semakan keputusan permohonan kemasukan ke tingkatan 1 sekolah kawalan ambilan januari 2017 boleh di buat secara online dan sms bermula 20 disember 2016 (selasa) sehingga 31 disember.

Semakan keputusan tawaran permohonan sekolah kawalan 2018 online dan sms. Bilakah tarikh permohonan sekolah kawalan smka sabk kaa krk ambilan. Berikut dikongsikan adalah maklumat tentang kemasukan sekolah kawalan termasuk memaparkan tarikh, syarat kelayakan dan aplikasi permohonan Nyatakan nama sekolah yang dipilih maklumat tambahan permohonan ke sbp. Dasar, syarat & kriteria pengambilan murid tingkatan satu (1) sekolah berasrama penuh tahun 2014.

Cara Memohon Sekolah Kawalan 2017 Smka Sabk Krk Dan Kaa Online
Cara Memohon Sekolah Kawalan 2017 Smka Sabk Krk Dan Kaa Online from 4.bp.blogspot.com
Bagaimana cara semakan penempatan tingkatan 1 2021. Hal yang harus diperhatikan saat membuat surat pemohonan. Semakan keputusan permohonan kemasukan ke tingkatan 1 sekolah kawalan ambilan januari 2017 boleh di buat secara online dan sms bermula 20 disember 2016 (selasa) sehingga 31 disember. Nyatakan nama sekolah yang dipilih maklumat tambahan permohonan ke sbp. Pastikan maklumat yang dimasukkan adalah betul kerana pengemaskinian tidak boleh dibuat setelah cetakan dibuat. Sekolah kawalan menengah meliputi sekolah agama bantuan kerajaan (sabk), sekolah menengah kebangsaan agama berikut dikongsikan panduan permohonan sekolah kawalan kemasukan tingkatan 1 2020 untuk pelajar upsr tahun 2019. Keputusan kemasukan sekolah kawalan 2018 tingkatan 1 boleh diketahui sekitar hujung bulan disember 2017 bergantung kepada negeri tempat memohon. Kepala sekolah smk negeri 2 kepanjen.

Permohonan kemasukan ke sekolah kawalan 2017 sekolah menengah kebangsaan agama {smka}, sekolah agama bantuan kerajaan {sabk}, kelas rancangan khas {krk} dan kelas aliran agama {kaa} dibuka dari 1 september sehingga 30 september.

Permohonan kemasukan ke sekolah kawalan 2017 sekolah menengah kebangsaan agama {smka}, sekolah agama bantuan kerajaan {sabk}, kelas rancangan khas {krk} dan kelas aliran agama {kaa} dibuka dari 1 september sehingga 30 september. Dasar, syarat & kriteria pengambilan murid tingkatan satu (1) sekolah berasrama penuh tahun 2014. Semakan permohonan tingkatan 1 sekolah kawalan sesi pendaftaran kemasukan penempatan form 1, public.moe.gov.my 2. Bagaimana cara semakan penempatan tingkatan 1 2021. Permohonan ke tingkatan 1 sekolah kawalan tahun 2017 01.09.2016 sehingga 30.09.2016 (tutup). Permohonan sekolah kawalan perak 2021 tingkatan 1 online|bilakah tarikh permohonan sekolah kawalan perak tahun 2021? Berikut dikongsikan adalah maklumat tentang kemasukan sekolah kawalan termasuk memaparkan tarikh, syarat kelayakan dan aplikasi permohonan ( diisi untuk pemohonan ke sbp sahaja ) jarak sekolah dari rumah Carian maklumat permohonan kemasukan ke sekolah kawalan tingkatan 1 ambilan tahun 2021 untuk pelajar lepasan upsr. Dimaklumkan bahawa permohonan ke sekolah kawalan tingkatan satu (1) ambilan 2017 boleh dilakukan bermula 1 september 2016. Semakan keputusan tawaran permohonan sekolah kawalan 2018 online dan sms. Panduan buat pelajar tahun 6 yang telah menduduki peperiksaan ujian pencapaian sekolah rendah (upsr) tahun 2019. Ibu bapa perlu membuat pendaftaran kali pertama untuk akaun sendiri sebelum membuat permohonan ke tahun 1 dan ke sekolah kawalan.

Sekolah agama menengah (sam/samt) negeri selangor yang berkonsepkan sekolah agama bantuan kerajaan (sabk) adalah merupakan sekolah kawalan makluman penting : * pemilihan dibuat berdasarkan kepada permohonan yang memenuhi syarat. Dasar, syarat & kriteria pengambilan murid tingkatan satu (1) sekolah berasrama penuh tahun 2014. Terdapat 6 jenis dan senarai yang ada di. Bilakah tarikh permohonan sekolah kawalan smka sabk kaa krk ambilan.

Semakan Keputusan Sekolah Kawalan 2021 Secara Online
Semakan Keputusan Sekolah Kawalan 2021 Secara Online from www.permohonan.my
Pastikan maklumat yang dimasukkan adalah betul kerana pengemaskinian tidak boleh dibuat setelah cetakan dibuat. Dimaklumkan bahawa permohonan ke sekolah kawalan tingkatan satu (1) ambilan 2017 boleh dilakukan bermula 1 september 2016. ( diisi untuk pemohonan ke sbp sahaja ) jarak sekolah dari rumah Berdasarkan pengetahuan penulis, borang permohonan kemasukan ke sekolah kawalan kementerian pendidikan malaysia (kpm) bagi tingkatan 1 ambilan tahun 2020 akan. Bagi murid yang bersekolah di wp putrajaya, pelajar/ibu tarikh permohonan dibuka dari 20 september sehingga 29 oktober 2017. Keputusan kemasukan sekolah kawalan 2018 tingkatan 1 boleh diketahui sekitar hujung bulan disember 2017 bergantung kepada negeri tempat memohon. Semakan tawaran sekolah kawalan 2018 krk kaa smka sabk online|adakah anda telah membuat permohonan sekolah kawalan ambilan 2018? Bagi murid tahun 6 yang telah membuat permohonan kemasukan ke smka, sabk, kaa, krk dan sekolah kawalan negeri bagi tahun 2017, semakan keputusan ke tingkatan 1 boleh dibuat mulai 20 disember 2016 (selasa) jam 10.00 pagi sehingga 31 disember 2016.

Permohonan kemasukan ke sekolah kawalan menengah kementerian pendidikan malaysia (kpm) bagi tahun pengambilan 2021 dijangka akan dibuka untuk tujuan permohonan pada minggu pertama bulan september 2020.

Permohonan perlu dibuat secara online melalui aplikasi permohonan ke sbp dan sekolah kawalan. Hal yang harus diperhatikan saat membuat surat pemohonan. Nyatakan nama sekolah yang dipilih maklumat tambahan permohonan ke sbp. Berdasarkan pengetahuan penulis, borang permohonan kemasukan ke sekolah kawalan kementerian pendidikan malaysia (kpm) bagi tingkatan 1 ambilan tahun 2020 akan. Permohonan adalah bagi sekolah kawalan bagi sekolah menengah yang ada dalam negara. ( diisi untuk pemohonan ke sbp sahaja ) jarak sekolah dari rumah Semakan keputusan kemasukan ke sekolah kawalan. Ibu bapa perlu membuat pendaftaran kali pertama untuk akaun sendiri sebelum membuat permohonan ke tahun 1 dan ke sekolah kawalan. Semakan permohonan tingkatan 1 sekolah kawalan sesi pendaftaran kemasukan penempatan form 1, public.moe.gov.my 2. Bagi murid tahun 6 yang telah membuat permohonan kemasukan ke smka, sabk, kaa, krk dan sekolah kawalan negeri bagi tahun 2017, semakan keputusan ke tingkatan 1 boleh dibuat mulai 20 disember 2016 (selasa) jam 10.00 pagi sehingga 31 disember 2016. Kepala sekolah smk negeri 2 kepanjen. Memilih sekolah kawalan ini merupakan pilihan yang baik kerana setiap sekolah mempunyai. 951 likes · 7 talking about this.

Related : Pemohonan Sekolah Kawalan 2017 - Permohonan kemasukan ke sekolah kawalan 2017 sekolah menengah kebangsaan agama {smka}, sekolah agama bantuan kerajaan {sabk}, kelas rancangan khas {krk} dan kelas aliran agama {kaa} dibuka dari 1 september sehingga 30 september..